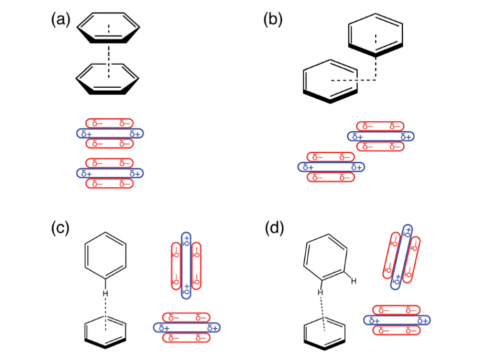
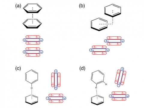
Molecular Interactions
DFT-based ALMO Energy Decomposition Analysis
-
Quantify various contributions to intermolecular binding energy:
- Permanent electrostatics (ELEC)
- Pauli repulsion (PAULI)
- Dispersion (DISP)
- Polarization (POL)
- Charge-transfer (CT)
- Solvation energy (when implicit solvent model is used)
- Analyze shifts in structural and vibrational properties through geometry optimization and harmonic frequency analysis
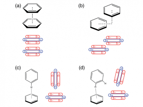
Extended Symmetry-adapted Perturbation Theory (XSAPT)
-
The SAPT approach affords a natural partition of intermolecular interaction energies
- Electrostatic (elst)
- Exchange (exch)
- Induction (ind)
- Exchange-induction (exch-ind)
- Dispersion (disp)
- Exchange-dispersion (exch-disp)
-
SAPT/cDFT provides stable and physically motivated energy decomposition
-
XSAPT describes many-body effects beyond two-body level
-
XSAPT with many-body-dispersion implementation is a promising method for supramolecular assemblies
Want to try Q-Chem?





